重要习题 4-20 用戴维宁-诺顿定理求解图中电流 I 。
|
解:
6A 电流源单独作用
|
![]() |
( 2 ) 求 Ro
|
![]() |
( 3 ) 求 ( a ) 用网孔法,求网孔电流
|
![]() |
( 2 ) 由叠加定理由图可见
|
![]() |
由左图可见,两个 100欧姆 电阻
|
可画出原单口的两种等效电路如下 |
|
|
在 ab 端接上 100欧姆 电阻, 则流经它的电流 i
|
重要习题4-21 求如图所示单口网络的诺顿等效电路。
![]() |
解:
( 1 ) 求
设流经
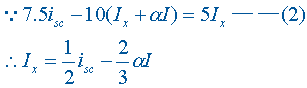
由 KVL:
由 KCL:
解二:求
由等效的概念 |


![]() |
(
2 ) 求
|
![]() |
求
|
注意: 等效电路与原电路端口处的 VAR 相同( 即端口电压、端口电流与原来一样 )
重要习题4-27 求题中电阻为何值时可获得最大功率?
|
解:
( 1 ) 求
|
![]() |
( 2 ) 求
|
含源单口的等效电路:
|
求
由于 |
重要习题4-29
求题中电路的电阻
为何值可获得最大功率?
并计算最大功率值。
|
解:
将负载
求
( b ) 叠加定理求
当电流源单独作用
即这是由电路得结构而知 ac 两点为等电位点
求 Ro
当
|
重要习题4-30
求如图所示的单口网络的戴维宁等效电路的电阻
何可获得的最
大功率。
解:
( 1 ) 对单口回路列 KVL 方程
( 2 ) 求
|
|
(
3 ) 要使
获得
,须求
虚线以左的戴维宁等效电路

![]()
注意等效的运用,可先求单口中的指定单口的等效电路,然后再使等效电路与单口中其它元 件相连,进一步求原单口的等效电路